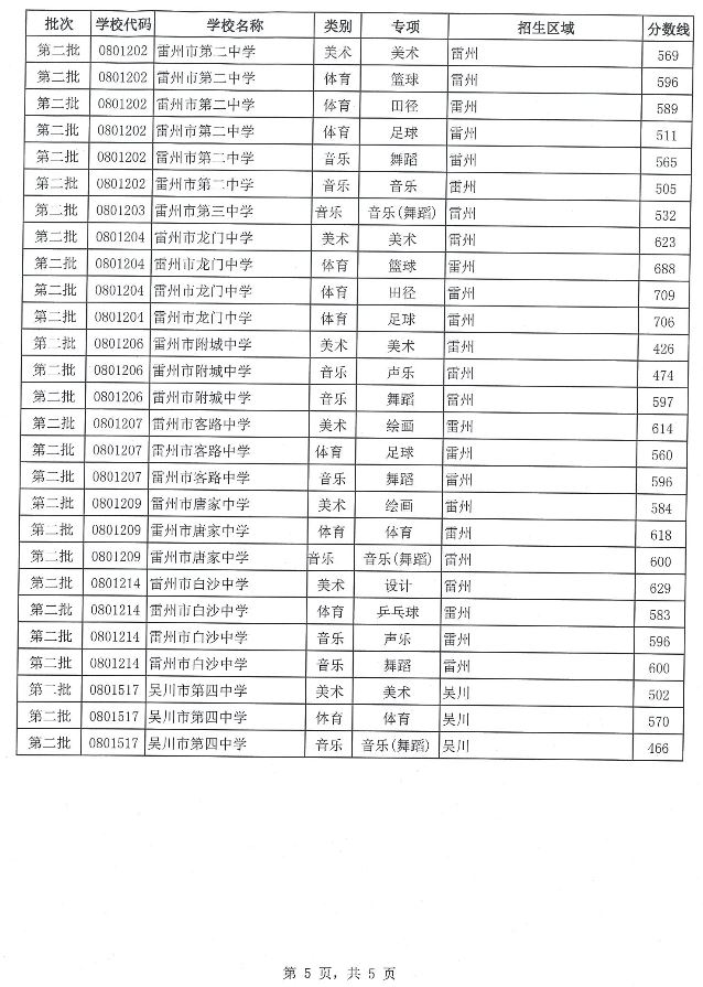
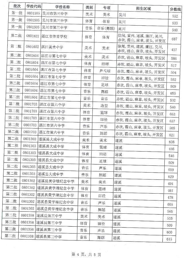
2018湛江中考分数线

更新时间:2018-7-10 9:55:53

上一页  [1] [2] [3] [4] [5] [6] [7] [8] [9] 

中考信息不断变化,精英中考网www.zhongkaowu.com提供的中考资讯、成绩查询、分数线信息仅供参考,具体以相关教育部门的信息为准!

Copyright 版权所有

精英中考网 粤ICP备14029008号-1