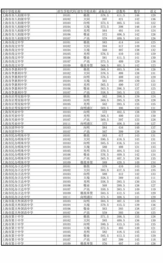
2017黄浦中考零志愿分数线、名额分配志愿投档分数线

更新时间:2018-3-27 11:24:35

2017黄浦中考零志愿投档分数线

2017黄浦中考零志愿、名额分配志愿投档分数线

中考信息不断变化,精英中考网www.zhongkaowu.com提供的中考资讯、成绩查询、分数线信息仅供参考,具体以相关教育部门的信息为准!

Copyright 版权所有

精英中考网 粤ICP备14029008号-1