2019重庆电子工程职业学院录取分数线

更新时间:2021-1-14 9:48:48

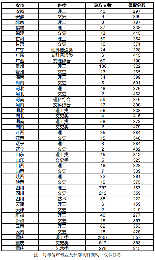
2019重庆电子工程职业学院分数线是多少以及最近三年历年录取分数线是广大考生和家长朋友们十分关心的问题,为了方便大家查询,小编已经为大家整理好了重庆电子工程职业学院2018-2019年录取分数线汇总信息,包含理科和文科,供大家参考:

1、2019年重庆电子工程职业学院录取分数线【全国】


重庆电子工程职业学院2019年秋季录取分数线

 

高考信息不断变化,精英高考网www.zhongkaowu.com提供的高考资讯、成绩查询、分数线信息仅供参考,具体以相关教育部门的信息为准!

Copyright 版权所有

精英中考网 粤ICP备14029008号-1